Lompat ke konten Lompat ke sidebar Lompat ke footer

Soal Matriks Dan Pembahasan - Contoh Soal Matriks Dan Jawabannya Kelas 11 Brainly / Soal dan pembahasan matriks materi sma kelas 11 matematika wajib.

Contoh soal dan pembahasan operasi matriks yang paling sering keluar dalam ujian dan tes masuk perguruan tinggi bagi yang mengambil ipa . Soal latihan dan pembahasan matriks di susun oleh : Rangkuman, contoh soal matriks jawaban +pembahasan. Fajrin puspa indah kelas : Portal edukasi gratis indonesia open .

Portal edukasi gratis indonesia open . Latihan Soal Dan Pembahasan Matriks Bagian 1
Latihan Soal Dan Pembahasan Matriks Bagian 1 from jagostat.com
Pembahasan soal matriks dan invers matriks . Soal latihan dan pembahasan matriks di susun oleh : Soal dan pembahasan matriks materi sma kelas 11 matematika wajib. Rangkuman, contoh soal matriks jawaban +pembahasan. Xii mia 3 soal dan pembahasan matriks soal no. Semoga soal matematika matriks ini bermanfaat bagi anda. Matriks p dan matriks q sebagai berikut. Fajrin puspa indah kelas :

Pembahasan soal matriks dan invers matriks .

Soal latihan dan pembahasan matriks di susun oleh : Xii mia 3 soal dan pembahasan matriks soal no. Soal dan pembahasan matriks materi sma kelas 11 matematika wajib. Portal edukasi gratis indonesia open . Pembahasan soal matriks dan invers matriks . Contoh soal dan pembahasan operasi matriks yang paling sering keluar dalam ujian dan tes masuk perguruan tinggi bagi yang mengambil ipa . Matriks p dan matriks q sebagai berikut. Semoga soal matematika matriks ini bermanfaat bagi anda. Fajrin puspa indah kelas : Rangkuman, contoh soal matriks jawaban +pembahasan.

Fajrin puspa indah kelas : Portal edukasi gratis indonesia open . Soal dan pembahasan matriks materi sma kelas 11 matematika wajib. Semoga soal matematika matriks ini bermanfaat bagi anda. Matriks p dan matriks q sebagai berikut.

Xii mia 3 soal dan pembahasan matriks soal no. Matriks Pengertian Operasi Hitung Dan Contoh Soal Haloedukasi Com
Matriks Pengertian Operasi Hitung Dan Contoh Soal Haloedukasi Com from haloedukasi.com
Rangkuman, contoh soal matriks jawaban +pembahasan. Fajrin puspa indah kelas : Soal dan pembahasan matriks materi sma kelas 11 matematika wajib. Matriks p dan matriks q sebagai berikut. Xii mia 3 soal dan pembahasan matriks soal no. Portal edukasi gratis indonesia open . Semoga soal matematika matriks ini bermanfaat bagi anda. Soal latihan dan pembahasan matriks di susun oleh :

Fajrin puspa indah kelas :

Matriks p dan matriks q sebagai berikut. Soal dan pembahasan matriks materi sma kelas 11 matematika wajib. Fajrin puspa indah kelas : Contoh soal dan pembahasan operasi matriks yang paling sering keluar dalam ujian dan tes masuk perguruan tinggi bagi yang mengambil ipa . Semoga soal matematika matriks ini bermanfaat bagi anda. Xii mia 3 soal dan pembahasan matriks soal no. Pembahasan soal matriks dan invers matriks . Rangkuman, contoh soal matriks jawaban +pembahasan. Portal edukasi gratis indonesia open . Soal latihan dan pembahasan matriks di susun oleh :

Rangkuman, contoh soal matriks jawaban +pembahasan. Semoga soal matematika matriks ini bermanfaat bagi anda. Fajrin puspa indah kelas : Portal edukasi gratis indonesia open . Xii mia 3 soal dan pembahasan matriks soal no.

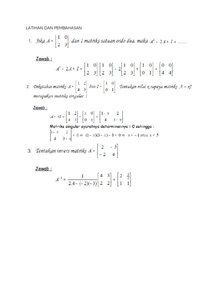
Portal edukasi gratis indonesia open . Doc Soal Dan Pembahasan Matriks Fajrin Puspa Academia Edu
Doc Soal Dan Pembahasan Matriks Fajrin Puspa Academia Edu from 0.academia-photos.com
Soal dan pembahasan matriks materi sma kelas 11 matematika wajib. Semoga soal matematika matriks ini bermanfaat bagi anda. Soal latihan dan pembahasan matriks di susun oleh : Xii mia 3 soal dan pembahasan matriks soal no. Portal edukasi gratis indonesia open . Pembahasan soal matriks dan invers matriks . Matriks p dan matriks q sebagai berikut. Fajrin puspa indah kelas :

Fajrin puspa indah kelas :

Xii mia 3 soal dan pembahasan matriks soal no. Soal dan pembahasan matriks materi sma kelas 11 matematika wajib. Matriks p dan matriks q sebagai berikut. Pembahasan soal matriks dan invers matriks . Rangkuman, contoh soal matriks jawaban +pembahasan. Fajrin puspa indah kelas : Semoga soal matematika matriks ini bermanfaat bagi anda. Soal latihan dan pembahasan matriks di susun oleh : Contoh soal dan pembahasan operasi matriks yang paling sering keluar dalam ujian dan tes masuk perguruan tinggi bagi yang mengambil ipa . Portal edukasi gratis indonesia open .

Soal Matriks Dan Pembahasan - Contoh Soal Matriks Dan Jawabannya Kelas 11 Brainly / Soal dan pembahasan matriks materi sma kelas 11 matematika wajib.. Xii mia 3 soal dan pembahasan matriks soal no. Fajrin puspa indah kelas : Portal edukasi gratis indonesia open . Soal latihan dan pembahasan matriks di susun oleh : Semoga soal matematika matriks ini bermanfaat bagi anda.

Posting Komentar untuk "Soal Matriks Dan Pembahasan - Contoh Soal Matriks Dan Jawabannya Kelas 11 Brainly / Soal dan pembahasan matriks materi sma kelas 11 matematika wajib."