Lompat ke konten Lompat ke sidebar Lompat ke footer

Soal Ujian Analisis Sistem Informasi Rumah Sakit Filetype Doc : Konsep Sistem Informasi Keperawatan Pdf Free Download / Sistem informasi jenis apa yang mempunyai akses terhadap keseluruhan dari system informasi manajemen rumah sakit…

Bagaimana menjalankan sistem informasi di rumah sakit ? Konsep dasar sistem informasi rumah sakit. Soal ujian tengah semester uts mata kuliah sistem informasi kesehatan dr h hendi suhendro msc 1. Uji yang tepat untuk analisis hipotesis statistik dari judul penelitian diatas . Analisis data kesehatan dikenal dengan certified health data analyst (chda).

Uji yang tepat untuk analisis hipotesis statistik dari judul penelitian diatas . Doc Contoh Soal Uji Kompetensi Tenaga Kesehatan Lingkungan Ira Desilia Academia Edu
Doc Contoh Soal Uji Kompetensi Tenaga Kesehatan Lingkungan Ira Desilia Academia Edu from 0.academia-photos.com
Analisis data kesehatan dikenal dengan certified health data analyst (chda). Bagaimana menjalankan sistem informasi di rumah sakit ? Rumah sakit budi lestari bekasi. Soal ujian tengah semester uts mata kuliah sistem informasi kesehatan dr h hendi suhendro msc 1. Uji yang tepat untuk analisis hipotesis statistik dari judul penelitian diatas . Sistem informasi jenis apa yang mempunyai akses terhadap keseluruhan dari system informasi manajemen rumah sakit… Konsep dasar sistem informasi rumah sakit. Sistem informasi rumah sakit tidak dapat lepas kaitannya dengan sistem.

Bagaimana menjalankan sistem informasi di rumah sakit ?

Sistem informasi jenis apa yang mempunyai akses terhadap keseluruhan dari system informasi manajemen rumah sakit… Bagaimana menjalankan sistem informasi di rumah sakit ? Konsep dasar sistem informasi rumah sakit. Sistem informasi rumah sakit tidak dapat lepas kaitannya dengan sistem. Rumah sakit budi lestari bekasi. Soal ujian tengah semester uts mata kuliah sistem informasi kesehatan dr h hendi suhendro msc 1. Uji yang tepat untuk analisis hipotesis statistik dari judul penelitian diatas . Analisis data kesehatan dikenal dengan certified health data analyst (chda).

Analisis data kesehatan dikenal dengan certified health data analyst (chda). Soal ujian tengah semester uts mata kuliah sistem informasi kesehatan dr h hendi suhendro msc 1. Bagaimana menjalankan sistem informasi di rumah sakit ? Rumah sakit budi lestari bekasi. Sistem informasi jenis apa yang mempunyai akses terhadap keseluruhan dari system informasi manajemen rumah sakit…

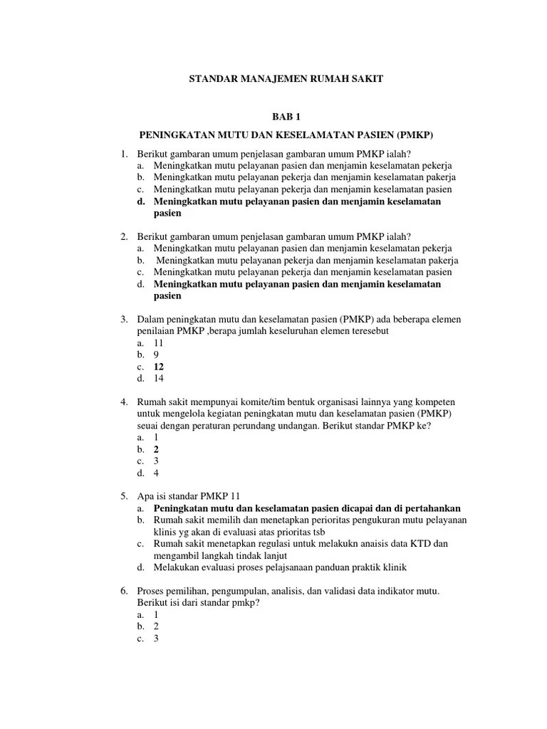
Konsep dasar sistem informasi rumah sakit. Contoh Soal Sistem Informasi Rumah Sakit
Contoh Soal Sistem Informasi Rumah Sakit from imgv2-2-f.scribdassets.com
Konsep dasar sistem informasi rumah sakit. Bagaimana menjalankan sistem informasi di rumah sakit ? Uji yang tepat untuk analisis hipotesis statistik dari judul penelitian diatas . Analisis data kesehatan dikenal dengan certified health data analyst (chda). Sistem informasi jenis apa yang mempunyai akses terhadap keseluruhan dari system informasi manajemen rumah sakit… Soal ujian tengah semester uts mata kuliah sistem informasi kesehatan dr h hendi suhendro msc 1. Sistem informasi rumah sakit tidak dapat lepas kaitannya dengan sistem. Rumah sakit budi lestari bekasi.

Rumah sakit budi lestari bekasi.

Analisis data kesehatan dikenal dengan certified health data analyst (chda). Konsep dasar sistem informasi rumah sakit. Soal ujian tengah semester uts mata kuliah sistem informasi kesehatan dr h hendi suhendro msc 1. Rumah sakit budi lestari bekasi. Sistem informasi jenis apa yang mempunyai akses terhadap keseluruhan dari system informasi manajemen rumah sakit… Bagaimana menjalankan sistem informasi di rumah sakit ? Uji yang tepat untuk analisis hipotesis statistik dari judul penelitian diatas . Sistem informasi rumah sakit tidak dapat lepas kaitannya dengan sistem.

Sistem informasi rumah sakit tidak dapat lepas kaitannya dengan sistem. Bagaimana menjalankan sistem informasi di rumah sakit ? Analisis data kesehatan dikenal dengan certified health data analyst (chda). Sistem informasi jenis apa yang mempunyai akses terhadap keseluruhan dari system informasi manajemen rumah sakit… Soal ujian tengah semester uts mata kuliah sistem informasi kesehatan dr h hendi suhendro msc 1.

Analisis data kesehatan dikenal dengan certified health data analyst (chda). Contoh Soal Sistem Informasi Rumah Sakit
Contoh Soal Sistem Informasi Rumah Sakit from imgv2-1-f.scribdassets.com
Rumah sakit budi lestari bekasi. Uji yang tepat untuk analisis hipotesis statistik dari judul penelitian diatas . Bagaimana menjalankan sistem informasi di rumah sakit ? Analisis data kesehatan dikenal dengan certified health data analyst (chda). Soal ujian tengah semester uts mata kuliah sistem informasi kesehatan dr h hendi suhendro msc 1. Konsep dasar sistem informasi rumah sakit. Sistem informasi rumah sakit tidak dapat lepas kaitannya dengan sistem. Sistem informasi jenis apa yang mempunyai akses terhadap keseluruhan dari system informasi manajemen rumah sakit…

Konsep dasar sistem informasi rumah sakit.

Rumah sakit budi lestari bekasi. Uji yang tepat untuk analisis hipotesis statistik dari judul penelitian diatas . Sistem informasi rumah sakit tidak dapat lepas kaitannya dengan sistem. Analisis data kesehatan dikenal dengan certified health data analyst (chda). Konsep dasar sistem informasi rumah sakit. Sistem informasi jenis apa yang mempunyai akses terhadap keseluruhan dari system informasi manajemen rumah sakit… Soal ujian tengah semester uts mata kuliah sistem informasi kesehatan dr h hendi suhendro msc 1. Bagaimana menjalankan sistem informasi di rumah sakit ?

Soal Ujian Analisis Sistem Informasi Rumah Sakit Filetype Doc : Konsep Sistem Informasi Keperawatan Pdf Free Download / Sistem informasi jenis apa yang mempunyai akses terhadap keseluruhan dari system informasi manajemen rumah sakit…. Sistem informasi jenis apa yang mempunyai akses terhadap keseluruhan dari system informasi manajemen rumah sakit… Rumah sakit budi lestari bekasi. Analisis data kesehatan dikenal dengan certified health data analyst (chda). Soal ujian tengah semester uts mata kuliah sistem informasi kesehatan dr h hendi suhendro msc 1. Bagaimana menjalankan sistem informasi di rumah sakit ?

Posting Komentar untuk "Soal Ujian Analisis Sistem Informasi Rumah Sakit Filetype Doc : Konsep Sistem Informasi Keperawatan Pdf Free Download / Sistem informasi jenis apa yang mempunyai akses terhadap keseluruhan dari system informasi manajemen rumah sakit…"